几种重要的合成树脂
几种重要的合成树脂
合成树脂是纯合成离分子化合物的别称。有的合成树脂虽为分子量还不太高的齐聚物,但其固化后可形成体型(交联)高分子化合物。合成树脂已广泛地用作舰船涂料、粘合剂和舰船复合材料的制造,本文介绍其中几种重要的合成树脂。
•环氧树脂
•不饱和聚酯
•乙烯基酯树脂
•聚氨酯
1 环氧树脂 环氧树脂(epoxy resin)通常指端基为环氧基或侧链含有环氧基的高分子化合物或有机化合物的总称。 一般是由多元酚、多元醇、多元酸、多元胺与过量的环氧氯丙烷缩聚或烯烃氧化得到。未固化前,环氧树脂为液体到固体的线性低分子量齐聚物或有机化合物,同固化剂反应后可形成热固性树脂,从而体现出其黏结等性能。环氧树脂主要包括缩水甘油醚型环氧树脂、缩水甘油酯型环氧树脂、缩水甘油胺型环氧树脂、脂肪族环氧化物、脂环族环氧化物和混合型环氧树脂。其中双酚A型环氧树脂产量最大(约占环氧树脂总量的80%),用途最广。其他品种是为特殊的用途发展起来的,虽然产量小,但呈现出逐年增加的趋势,并且有独特的性能,应用领域也十分广泛。
(1)环氧树脂的制备方法
双酚A型环氧树脂 (齐聚物)是由双酚A和环氧氯丙烷在NaOH存在下反应制得的,反应式如下:

(2)环氧树脂的固化方法
环氧树脂中有环氧基和羟基,可通过它们能够发生的开环偶联和缩合反应进行固化交联,形成体型高分子化合物。
常用的固化剂有:多元脂肪胺(如593:二乙烯三胺与环氧丙烷丁基醚加成物)、含芳基的多元胺(如T31:多胺、甲醛和苯胺的Manich反应产物)、聚酰胺(如651: 桐油酸与多元胺反应得到的桐油酸二聚体多元胺)、酮亚胺、聚硫醚、羧酸和酸酐、氨基树脂、酚醛树脂等。在实际应用中,应根据环氧值(100g树脂中含环氧基的物质的量)来计算固化剂的用量。
(3)环氧树脂的性能
环氧树脂为线型齐聚物。国内主要的双酚A环氧树脂有E51、E44、E42、E20、 E12和E06 (数字表示100g 环氧树脂中环氧基的百分数。例如,E51表示环氧基为51%的环氧树脂),它们能溶于许多有机溶剂。
E51、E44和E42常温下为黏稠液体,受热黏度降低,而E20、E12 和E06常温下为固体,加热可软化甚至熔融。
由于环氧树脂结构中含有众多的强极性基团,因此,固化后环氧树脂具有优异的黏接力和黏附力,并且具有优良的机械性能、电绝缘性能和良好的耐化学品性能,同时易于成型加工和进行改性。
(4)环氧树脂的用途特
环氧树脂固化物主要用作黏合剂(俗称万能胶)、涂料树脂、密封胶、电子电器灌封材料、发泡材料、电绝缘材料、玻璃钢构件及玻璃钢船只、功能复合材料等。
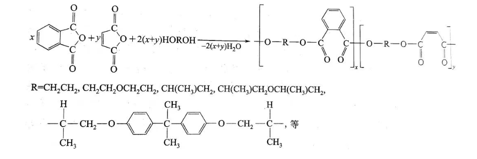
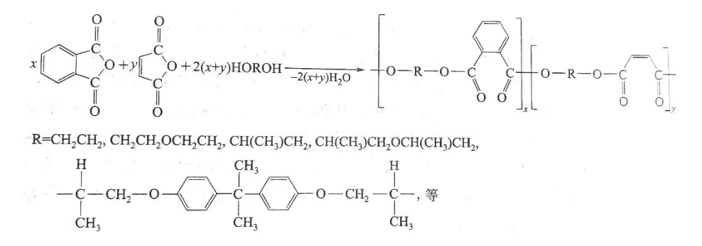
2 不饱和聚酯 不饱和聚酯(unsaturated polyester) 是指主链上含有不饱和双键的线性聚酯,由不饱和二元酸或酸酐和一定量的饱和二元酸或酸酐的混合物与饱和二元醇或二元酚缩聚得到的、分子量约为1000~5000的缩聚物。 由于含有不饱和的双键,可与烯类单体加成共聚,形成交联的热固性树脂。因用于不饱和聚酯生产的原料种类繁多,故不饱和聚酯的品种也很多,已工业化生产的品种有:通用型、胶衣型、耐化学型、耐高温型、透明型、柔韧型、低挥发型、阻燃型、浇铸型、板材型、模压型、发泡型等不饱和聚酯。 (1)不饱和聚酯的制备方法 通用的不饱和聚酯(如市售的191和196不饱和聚酯)一般采用马来酸酐和一定量邻苯二甲酸酐与饱和二元醇先高温下缩聚形成高黏性液体不饱和聚酯,冷却后用单体(如苯乙烯等)稀释并加入适量的阻聚剂(如对苯二酚、苯醌、叔丁基邻苯二酚等)得到可浇铸的液体树脂。 典型的缩聚反应为

(2)不饱和聚酯的固化方法
不饱和聚酯可通过自由基加聚反应室温固化交联,形成体型树脂。常用的引发剂有:过氧化环己酮、过氧化甲乙酮、过氧化苯甲酰、过氧化异丙苯等;常用的促进剂和加速剂有:环烷酸钴、辛酸钴、N,N-二甲基苯胺、N,N-二乙基苯胺等。
(3)不饱和聚酯的性能
常温下不饱和聚酯为黏性液体,具有良好的成型性和工艺性,颜色、黏度、触变性、适用期、固化温度、固化时间等可根据需要进行调节。固化产物具有较高的力学性能、尺寸稳定性能、耐化学品性能及电绝缘性能。不饱和聚酯还可用不同增强材料和填料增强以及用其他树脂进行共混改性。
(4)不饱和聚酯的用途
不饱和树脂制品有增强型和非增强型两大系列。
非增强型不饱和聚酯主要用作家具涂料、纽扣、工艺品、人造大理石、人造玛瑙、人造花岗岩、板材、胶衣树脂、食品容器等;增强不饱和聚酯(如玻璃钢)主要用作小型舰船、雷达天线罩、功能复合材料、化工防腐设备、车辆部件、机械零部件、门窗、卫生设备、娱乐设备、食品设备、运动器材等。
3 乙烯基酯树脂 乙烯基酯树脂(vinyl ester resin),又称环氧丙烯酸酯,是环氧树脂与一元不饱和酸的开环加成产物,兼顾了环氧树脂和不饱和聚酯的特性。 (1)乙烯基酯树脂的制备方法环氧树脂与一元不饱和羧酸在阻聚剂存在以及叔胺、磷化氢或碱催化下开环加成,冷却后用交联单体(如苯乙烯、甲基苯乙烯、双环戊二烯、丙烯酸酯等)稀释,得到可浇铸的液体乙烯基酯树脂。 典型的反应如下:

(2)乙烯基酯树脂的固化方法乙烯基酯树脂的固化方法和工艺同不饱和聚酯相似。
(3)乙烯基酯树脂的性能
乙烯基酯树脂的性能取决于环氧树脂的类型。用双酚A环氧树脂制备的乙烯基酯树脂具有优良的耐热性、黏接性和耐化学品性,成型工艺简单,尺寸稳定性好,力学性能优良。
(4)乙烯基酯树脂的用途
乙烯基酯树脂主要用于玻璃钢储罐、舰船、槽车、管道、风机叶片、汽车部件、防腐内衬等以及用作腻子、胶泥、黏合剂、防腐涂料、保护涂料、光固化涂料等。
4 聚氨酯 聚氨基甲酸酯,简称聚氨酯(polyurethane, PU),是指主链上含氨酯基(-NH-COO-)的聚合物的总称,通常通过二异氰酸酯与二元或多元醇反应得到。按二元或多元醇的种类不同,可分为聚醚氨酯和聚酯氨酯两大类,按用途可分为聚氨酯泡沫、聚氨酯纤维(我国称为氨纶)、聚氨酯弹性体、聚氨酯涂料和聚氨酯黏合剂。 (1)聚氨酯的制备方法 聚氨酯的制备方法有一步法和两步法。一步法是将计量的二异氰酸酯、聚醚或聚酯二元醇、扩链剂或交联剂、催化剂以及其他助剂混合均匀,浇铸成型。两步法是通过二异氰酸酯与聚醚或聚酯二元醇反应制备端异氰酸酯基的聚氨酯预聚物,然后预聚物扩链或交联形成线性或体型聚氨酯。聚氨酯泡沫一般采用一步法生产,其他用途的聚氨酯一般采用两步法生产。 例如用3,3`-二氯-4,4`-二苯基甲烷二胺(MOCA)扩链的浇铸聚氨酯弹性体的合成反应如下:

(2)聚氨酯的性能
软质聚氨酯泡沫塑料具有质地柔软、容重低、弹性大、吸音、隔热(热导率极低)、耐寒、耐油等特点;硬质聚氨酯泡沫塑料具有比刚性大、容重低、吸音、隔热(热导率极低)、耐寒、耐油、使用温度高等特点;聚氨酯纤维具有高弹性、耐磨、舒适等特点;聚氨酯涂料具有优良的柔性、抗冲击性、耐磨性、耐溶剂性、耐候性和黏附力;聚氨酯弹性体具有优异的耐磨性和耐油性、良好的硬度和弹性等特点。
(3)聚氨酯的用途
聚氨酯泡沫主要用于家具、室内装饰品、汽车和飞机内装饰、门窗框架、包装、玩具、运动器具、冷藏设备、绝热保温、防震缓冲部件、吸声材料、日用品等;聚氨酯纤维主要用于轻便衣服、内衣、游泳衣、松紧带、腰带、袜口、绷带、飞行服和航天服的紧身部位等;聚氨酯涂料主要用于有耐磨和抗冲需求的部位,如健身房和舞厅地板涂层、户外涂料、防水涂料、船舶防腐涂料、织物涂料、汽车用涂料等;聚氨酯弹性体主要用作轮胎胎面、鞋底、胶带、吸奶器内套、小型轮子、耐磨零部件、分离膜、减振橡胶、第二代水声吸声材料等。